-
[미적분학] Class3: 함수의 극한(1) --- {로피탈정리와 극한의 활용}대학 교육/수학(1) - 미적분학, 공업수학 2020. 7. 7. 01:00
************ 이 글은 PC 기준으로 작성되었습니다. ************
들어가며...
오늘 공부할 내용은 로피탈의 정리와 그리고 극한의 엄밀한 정의에 대해서 공부하겠습니다. 로피탈의 정리는 몇 가지 규칙만 안다면, 매우 쉽게 접근할 수 있습니다. 그리고, 최대한 쉽게 접근할 수 있도록 설명하려고 노력했습니다. 그리고 극한의 엄밀한 정의는 증명을 기반으로한 방법론에 가까운 공부가 되겠습니다. 극한을 정의하는, 증명하는 방식에는 아주 여러가지가 있습니다. 하지만, 이번 시간에는 가장 유명한 방법 한 가지를 공부하도록 하겠습니다. 이번 포스팅에서는 글을 잘 읽으면서 따라오시면, 크게 어렵지 않으실 것입니다! 그렇게 하면, 오늘 클래스는 마무리가 잘 될 수 있을 것 같네요. 그럼 시작하겠습니다!
1. 로피탈 정리 (L'Hôpital's Rule)
1-1. 로피탈 정리란? (What is L'Hôpital's Rule)
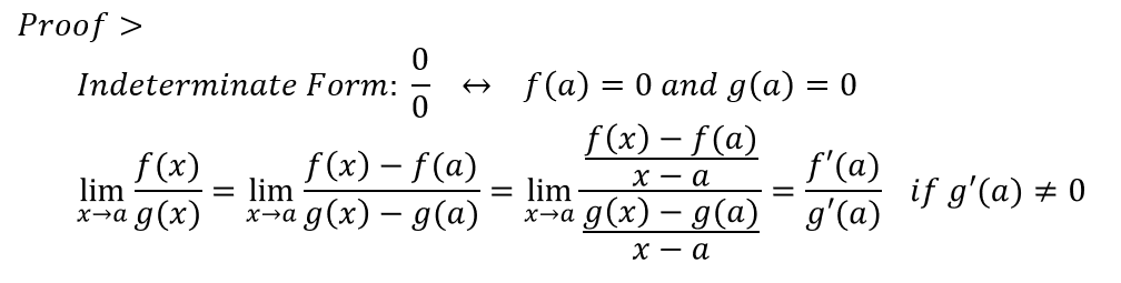
로피탈의 정리는 극한을 쉽게 계산하기 위해서 '로피탈'이라는 프랑스 수학자가 도입한 극한 계산법입니다. 보통의 경우에는 극한을 쉽게 계산할 수 있습니다. 하지만, 특수한 경우 일반적인 방식으로는 구할 수 없습니다. 이렇게 일반적인 방식으로 구할 수 없는 형태를 [극한의 부정형]이라고 합니다.
이렇게 극한이 부정형을 띨 경우에만, 로피탈 정리를 사용할 수 있습니다. 모든 극한 계산에 적용되지는 않습니다. 즉, 다시말해 로피탈의 정리는 극한의 부정형에서만 성립합니다. 로피탈 정리의 엄밀한 증명은 미적분학에서 다루지 않습니다. 간단하게 그 흐름만을 다뤄보도록 하겠습니다! 결론적으로 로피탈은 미분 가능한 함수 혹은 미분 가능한 구간 내의 함수 f(x), g(x)에 대해 아래의 관계를 만족시킵니다.


제가 거듭 강조하지만, 로피탈 정리를 사용하기 위해서는 조건을 잘 만족시켜야 합니다. 하지만, 사실상 0/0꼴 아니면, ∞/∞은 대부분 이 정리 사용이 가능하며, 분수꼴이 아닌 형태도 분수꼴로 만들어 적용시킬 수 있습니다. 이 로피탈 정리의 실제 쓰임은 다음 문단에서 직접 부정형의 종류를 다루면서 알아보겠습니다!!
1-2. 0/0 혹은 ∞/∞꼴 부정형 (CASE 1)
CASE 1은 부정형중 가장 무난하게 쉬운 형태라고 할 수 있습니다. 그렇다면, 바로, 직접 그 예시를 봅시다.

그렇게 어려운 형태는 아니죠? 쉽게 따라올 수 있을 거라고 생각이 듭니다. 가장 단순한 CASE 1이었습니다. 지금 이 예시들은 아주 쉬운 예시들을 나열해둔 것입니다. 그래도 다른 어려운 예시들도 만나면 쉽게 다가갈 수 있을 것입니다.
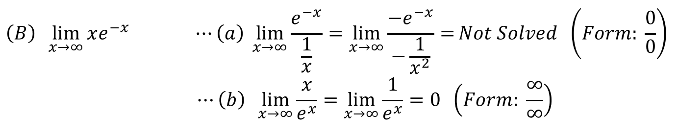
1-3. 0 · ∞ 꼴 부정형 (CASE 2)
CASE 2는 부정형중에서 직접 보지 않았다면, 생소할 수 있는 형태입니다. 이 부정형을 만났을 때는 CASE 1으로 변형시켜 풀 수 있습니다. 다시 생각해 보시면, 엄밀하지는 않지만 아주 직관적으로 0이 분모로 내려가면 1/0이 되고 이는 ∞가 되어 ∞/∞꼴이 됨을 알 수 있습니다. 그리고 ∞를 분모로 옮기면, 1/∞는 0이 되고 이는 0/0꼴을 만들어 CASE 1으로 변화 시킬 수 있습니다. 다시말해 2개의 CASE 1을 만들어 풀 수 있습니다. 직접 보는 것이 이해해 더 도움이 될 것 같네요. 바로 예시를 보도록 합시다!


어떤가요? 이번에도 쉬운 예제들이죠? 사실상 (A)-(b)는 (B)-(a)처럼 Not Solved가 되어야 합니다. 하지만, 분자와 분모가 동일하다는 특수한 상황으로 인해 1이라는 값을 얻었습니다. 위에서 말한 바와 같이 CASE 1을 2개로 만들어 풀었습니다. 이처럼 CASE 1의 두가지 부정형 꼴 중에 아주 쉽게 극한값을 찾을 수 있기도 하고 아예 풀 수 없게 되기도 했습니다. 이것이 CASE 2 부정형의 특징입니다. 따라서 상황에 따라 적절하게 0/0꼴로 바꿀 것인지 아니면 ∞/∞꼴로 바꿀 것인지 잘 생각해서 선택하여야 합니다.
1-4. 0^0 혹은 1^∞ 혹은 ∞^0 꼴 부정형 (CASE 3)
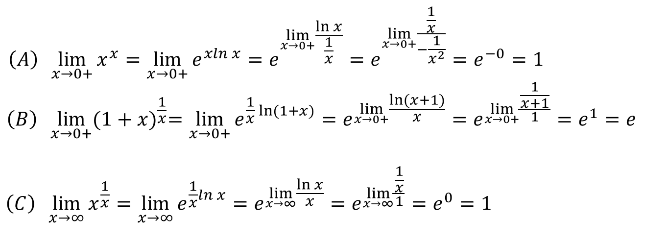
CASE 3의 부정형은 아주 특수한 상황입니다. 그리고 매우 생소하실 겁니다. 그런 동시에 로피탈 정리를 아주 맛깔나게 사용할 수 있는 가장 적절한 경우이기도 합니다. 왜냐하면, 사실 CASE 1이나 CASE 2의 부정형은 로피탈의 정리 없이도 쉽게 풀 수 있는 경우가 많기 때문입니다. 하지만 CASE 3의 경우, 그렇지 못하는 경우가 다반사입니다. 물론 자연 상수(e)의 정의를 통해 풀기도 하지만, 꽤나 제약적입니다. 그러면, 마지막 CASE 3의 부정형은 어떻게 될까요?
실제 적용을 보기 전에 두 가지 매우 중요한 수학적 변형 형태와 이론을 보고 넘어갑시다. 왜냐하면, 이 두 가지를 이용해 로피탈을 최종적으로 적용시키려고 합니다.

[I], [II]의 이 두가지의 형태와 이론에 대해서 간단하게 설명하고 넘어갈게요. 먼저, [I]의 경우, 지수함수 형태(Exponential Form)로 변화시킬 수 있습니다. 그리고 [II]의 경우, b가 상수라면, 극한은 지수로 옮길 수 있다는 이론입니다. 이는 여기서 따로 증명하시 않겠습니다. 그리고, 각각이 그렇게 어려운 부분은 아니므로 바로 예시를 보도록 하겠습니다.

어떤가요? 확실히 어려워진 극한 계산이죠? 로피탈을 쓰지않으면, 꽤나 어려운 극한 계산이 될 수도 있는 예제들이었습니다. 이렇게 극한을 보다 쉽게 계산하기 위해 만든 정리가 로피탈의 정리입니다. 그래도 아예 어렵지는 않고, 할 만하다는 것이 느껴지나요? 좋습니다! 그러면, 이번 포스팅의 다음 대주제는 극한의 엄밀한 정의에 대해서 알아보도록 합시다!
2. 극한(Limit)의 활용 - 점근선
극한의 엄밀한 정의를 공부하기 이전에 우리는 극한의 활용에 대해서 공부해보고자 합니다. '극한을 정의하지도 않았으면서, 왜 활용부터 하려고 하느냐?' 이렇게 질문을 하실 수 있습니다. 좋은 질문입니다. 지금까지 해왔던 것들도 어떻게 보면 극한의 활용입니다. 그렇기 때문에 극한을 적극적으로 활용하는 부분까지 공부를 하고 극한의 엄밀한 정의를 해보고자 합니다. 사실, 미적분학에서의 극한의 활용까지는 극한의 '엄밀한' 정의까지는 필요없기 때문입니다. 극한의 엄밀한 정의는 차후 해석학적으로 엄밀한 증명이 필요할 경우에 사용합니다. 그렇기 때문에 공학적으로나 활용적인 측면에서는 우리가 고등학교 때 배운 간단한 개념 및 증명만을 통해 극한의 활용까지 공부를 하는 것입니다. 한 줄로 정리하자면, 극한의 엄밀한 정의는 하나의 옵션인 셈입니다.
2-1. 수평 점근선 (Horizontal Asymptote)
수평 점근선은 간단합니다. 그냥 단순히 어떤 함수 f(x)가 음의 무한대 혹은 양의 무한대에서 특정 상수로 수렴하면 항상 수평 점근선을 가집니다. 간단하게, 양 혹은 음의 무한대에서 극한이 수렴하면, 수평점근선이 존재합니다. 수평 점근선의 정의는 x축에 평행하고, y축에 수직인 직선 중에 함수가 점점 가까워지는 한 직선을 의미합니다.

예를 들면, 이러한 함수에서 수평 점근선을 볼 수 있겠네요. 수평 점근선은 그리 어려운 부분은 아니니 바로 넘어가도록 할게요!

2-2. 수직 점근선 (Vertical Asymptote)
수직 점근선은 수평 점근선과 반대입니다. 어떤 함수 f(x)가 정의역 내에서 정의가 되지 않는 점과 그 점에서의 극한이 수렴하지 않는 경우 수직 점근선을 갖는다. 수평 점근선은 양의 무한대와 음의 무한대에서의 수렴값을 확인했지만, 수직 점근선은 정의역 내의 특정한 Point에서의 수렴 발산 여부를 따집니다. 따라서 아래와 같이 정리할 수 있습니다.

그리고 이렇게 수직 점근선을 갖는 경우의 예시는 아래와 같은 함수 그래프들이 있을 것입니다.

그러면, 이번에는 수평도 수직도 아닌 점근선에 대해서 알아봅시다.
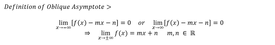
2-3. 사선 점근선 (Oblique Asymptote)
수직 점근선도, 수평 점근선도 아닌 점근선을 수학에서는 사선 점근선이라고 부릅니다. 사선 점근선의 경우가 수평도, 수직도 아니기 때문에 점근선 중에는 가장 까다롭다고 할 수 있습니다. 왜냐하면, 사선 점근선은 언제, 특정한 조건에서 생기는지는 알 수 없기때문입니다. 다시말하면, 함수식만을 보고선, 그 함수가 점근선을 갖는지 안 갖는지 바로 판별할 수 없고, 수학적으로 계산을 해봐야 한다는 뜻입니다. 그리고, 한 가지 그나마 직관적으로 판단할 수 있는 방법은 함수가 급격히 증가하거나 급격히 감소하면, 사선 점근선이 없습니다. 가장 먼저, 간단한 예시를 한 번 살펴보도록 하겠습니다.

기본적으로 극한으로 보냈을 때, 함수를 구할 수 있으면, 사선 점근선을 구할 수 있는 가능성을 지니게 됩니다. 하지만, 가장 절대적인 것은 극한 상태에서 일차 함수가 나와야 합니다. 이차함수 삼차 함수는 우리가 점근선이 있다고 하지 않습니다. 기본적으로 점근선은 직선이기 때문입니다. 그러면, 사선 점근선의 정의를 먼저 살펴보도록 하겠습니다.

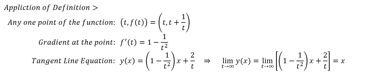
이렇게 일반적인 형태로 사선 점근선을 정의할 수 있습니다. 이렇게 사선 점근선을 구해볼 수 있습니다. 하지만, 생각보다 되게 애매하다고 느껴질 수 있습니다. 그리고 이게 정말 맞는지도 확신이 안 갈 수도 있습니다. 그래서, 이를 응용해 더욱 확실히 사선 점근선을 구할 수 있습니다. 사선 점근선을 확실히 구할 수 있는 방법은 접선의 방정식(Tangent Line Equation)을 이용하는 방법입니다. 어떠한 한 점 ( t, f(t) )에서의 기울기(Gradient)를 구해 접선의 방정식을 구해 이에 대해 극한을 취하면, 사선 점근선을 구할 수 있습니다. 아래는 위의 예시를 통해 사선 점근선을 구한 결과이다.

이해가 안 된다면, 위의 정의만을 이용해도 좋습니다. 어찌됐든, 마지막 과정에서 t를 무한대로 보냈을 때, x에 대한 일차함수를 구할 수 있다면, 사선 점근선이 존재하는 것입니다. 이 상황을 일종의 수렴이라고도 볼 수 있는데(극한의 변수가 t일 뿐이고, 수렴값이 x에 대한 함수일 뿐인), 이 값이 발산하거나 상수일 경우에는 사선 점근선이 없습니다. 발산할 때는 점근선이 아예 없음을 의미하고, 상수일 경우에는 수평점근선이라고 할 수 있습니다. 이를 응용해 이 접선의 방정식을 무한대가 아닌 특정 점으로 극한을 취했을 때, 발산한다면, 이를 수직 점근선이라고도 할 수 있습니다. 따라서, 모든 점근선을 한 번에 판단이 가능한 방법이라고도 할 수 있겠습니다.
3. 극한의 엄밀한 정의
3-1. 극한의 기본적 정의
고등학교 때 배운 함수의 극한에 대한 정의는 이렇습니다.
함수 f(x)에서 x의 값이 'a가 아니면서 a에 한 없이 가까워지는' 혹은 '양의 무한대로 한없이 커지는' 혹은 '음의 무한대로 한없이 커지는' 성질
출처: EBS 수능특강(2020) 수학Ⅱ이때 함수값이 특정 값에 가까워지면, 수렴한다하고, 무한대로 혹은 전혀 가까워지지 않을 때를 발산한다고 배웠을 것입니다. 그리고 우극한과 좌극한에 대해서 배웠을 것입니다. x가 a에 대해 왼쪽에서 가까워지면, 좌극한. 그리고 오른쪽에서 가까워지면, 우극한. 이런 방식으로 말이죠.
우리가 고등학교 때 배운 극한은 매우 이해하기 쉽습니다. 따라서, 여기서는 크게 다루지 않고 넘어가도록 하겠습니다. 우리의 목적은 이 극한의 엄밀한 정의이니깐 말이죠.
3-2. 극한의 엄밀한 정의
고등학교 때 배운 함수의 극한을 한 번 리마인드(Remind)해 보았습니다. 극한을 엄밀하게 정의하기 위해서는 고등학교 때 배웠던 극한을 모두 잊어야 합니다. 가장 먼저 중요한 부분은 이 부분입니다.
- 수학에서는 그 누구도 움직이는 숫자가 있다고 말하지 않았다.
이 부분이 왜 중요한지 설명하도록 하겠습니다. 극한에서 x라는 수가 a에 가까워지고 있다고 생각하는 편이 우리가 이해하기에는 꽤 쉽습니다. 하지만, 정확히 말하면, x라는 수가 a에 가까워지고 있는 것이 아니라 x의 바운더리(Boundary; 경계, 범위)를 a에 점점 가깝게 잡아가는 것 뿐입니다. 즉, a를 기준으로 충분히 작은 범위의 경계를 더 작게 잡아가는 것이 바로 극한입니다(이해가 안되시면, 댓글로 질문해 주세요!).
그리고, 이 때 값이 구해지지 않는다면, 발산이고, 값이 구해진다면, 수렴입니다. 이때(수렴할 경우), 비율적으로 계속해서 가까워집니다. 그리고 특정 비율을 넘어갈 때의 범위를 특정 값으로 근사합니다. 이것이 공학에서 사용하는 극한입니다. 일단, 말로 설명은 이쯤 해두고, 한 번, 실제 식을 보면서, 얘기해 보도록 합시다.
<Epsilon-Delta Proof: ε-δ 논법>
For any ε>0, ∃ δ = δ(ε) such that | x - a | < δ ⇒ | f(x) - L | < ε
아마, 이렇게만 보고서는 이해하기 힘드실 수도 있습니다. 한 번, 이 식을 해석해 보도록 합시다. 0보다 큰 어떤 수 ε에 대해서, | x - a | < δ 일 때 | f(x) - L | < ε를 만족하는 δ=δ(ε)이 존재한다면, 극한값이 존재(수렴)한다. 이렇게 식을 해석할 수 있습니다. 이때 ε은 매우 작은 값입니다. 이렇게만 보고서는 아마 이해가 잘 안 가실 수 있습니다. 한 번 예제를 살펴보도록 합시다.

이러한 예시가 있다고 생각해봅시다. 당연하게 연속이고, 극한이 존재하지만, 정확한 정의를 이용해서 증명해보도록 합시다.
| 5x - 5 | < ε 라고 할 수 있습니다. 이 때, | x - 1| = ε/5 ≤ δ(ε) 처럼 쓸 수 있고 이처럼 δ를 구할 수 있었으므로, 극한을 정의할 수 있습니다. 이 논법은 다변수미적분학에서 여러 변수에서도 똑같이 적용이 가능합니다. 추가적인 예시를 넣어드릴테니, 연습해봅시다. 이해가 잘 안 되더라도, 풀이를 보고, 연습하다보면, 이해가 되는 순간이 찾아옵니다! 그리고, 이렇게 오늘의 클래스를 마치도록 하겠습니다!



오늘의 클래스는 여기까지입니다. 다음 클래스에서는 간단하게 미분의 응용을 공부해보도록 하겠습니다! 질문은 댓글로 언제나 받습니다! 감사합니다! 오늘도 좋은 하루 보내시길 바랄게요~! 다음 클래스 포스팅으로 뵙겠습니다! 그때까지 안녕히 계세요~!!
'대학 교육 > 수학(1) - 미적분학, 공업수학' 카테고리의 다른 글
[미적분학] Class4: 미분의 응용(1) --- {일차 근사와 전미분} (0) 2020.07.15 [미적분학] Class2: 삼각 함수와 쌍곡선 함수(그래프와 극한)(2) --- {삼각함수, 쌍곡선함수들의 도함수} (0) 2020.07.05 [미적분학] Class1: 삼각 함수와 쌍곡선 함수(그래프와 극한)(1) --- {역삼각함수, 쌍곡선함수, 역쌍곡선함수} (6) 2020.07.04